
天麻(Gastrodia elata)是重要的中药材和食材,富含天麻素、苷类、多糖等活性成分,但其采后极易腐烂,主要病原菌是 Fusarium solani和Penicillium crustosum,微波处理可以灭杀部分病原菌,但单独使用往往无法很好抑制病原菌,且易因高温导致块茎品质下降。
近日,贵阳学院王瑞教授团队在LWT.发表题为“Impact of microwave treatment in conjunction with modified atmosphere packaging on postharvest fungal diseases in fresh Gastrodia elata”的研究论文,揭示了微波和气调包装联合抑菌的效果与其机制。拜谱生物为该研究提供转录组学技术服务。
英文标题:Impact of microwave treatment in conjunction with modified atmosphere packaging on postharvest fungal diseases in fresh Gastrodia elata(LWT )
中文标题:微波处理结合气调包装对鲜天麻采后真菌病害的影响
客户单位:贵阳学院
研究材料:天麻
拜谱提供技术:转录组学
技术路线:
研究结果
01、主要危害菌种鉴定与微波灭菌条件摸索
分离检测病原菌,发现主要为Fusarium solani和Penicillium crustosum,单独接种和混合接种均会加速块茎腐烂,且联合接种会显著的加速腐烂,说明二者均为天麻块茎采收后腐烂的“元凶”。
微波(MT)灭菌是较为常用的灭菌手段,但是微波功率和时间的选择至关重要,本研究采取300W,500W,700W三个功率梯度,20s,30s,40s三个时间梯度来进行探索,结果发现700W,30s是灭菌效果最好,且不会显著影响天麻块茎品质的微波条件(图1A-E),但单独的微波处理仅能在单个时间点减缓腐烂,无法完全抑制块茎的腐烂。
图1 微波灭菌条件摸索
02、MT联合MAP协同保持天麻块茎商品性
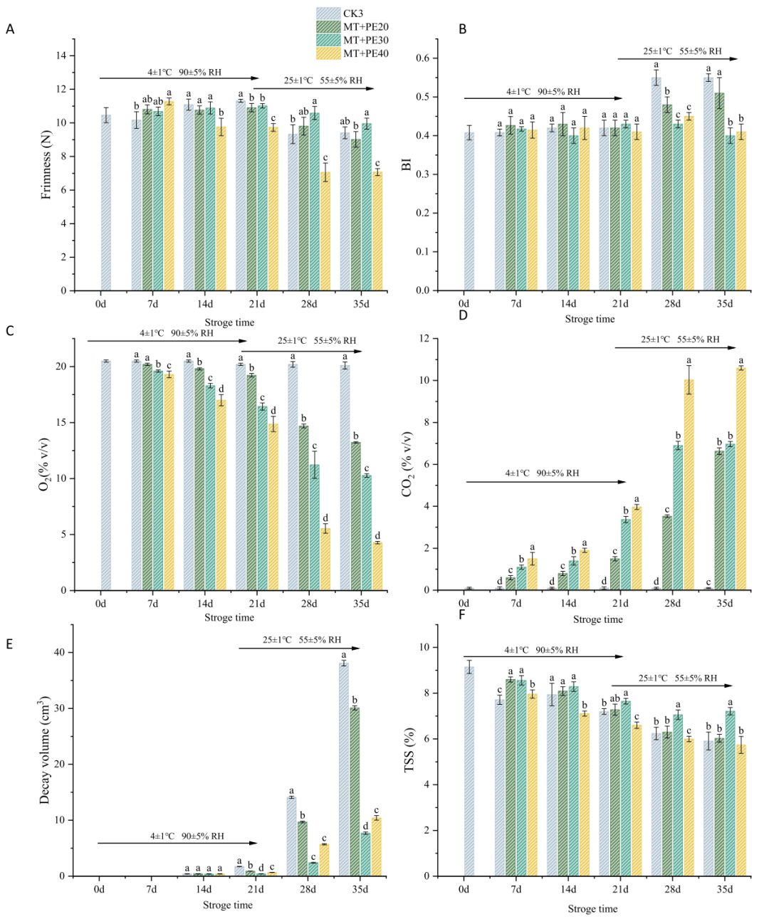
上文提及单独的微波处理无法完全抑制块茎的腐烂,气调包装(MAP)可以营造相对稳定和封闭的内部环境协助微波处理后的天麻块茎保鲜,本研究选取了PE20,PE30,PE40三个厚度的乙烯薄膜,调节包装内氧气和二氧化碳的比例,结果显示,PE30 膜的效果最佳,能维持氧气在约 7.5%,二氧化碳在约 8%,既抑菌又不伤害天麻块茎(图2A-F)。
图2 微波联合气调包装保鲜天麻块茎的影响
03、保存条件和时间对天麻活性成分的影响
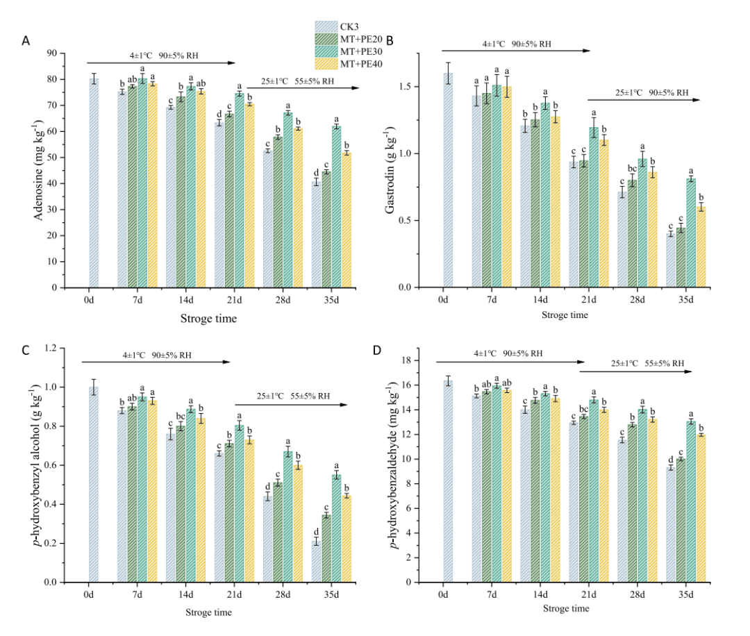
针对天麻主要营养和药效成分,主要是腺苷,天麻素,对羟基苯甲醇、对羟基苯甲醛进行检测,结果显示PE30处理后35天的成分含量最高,与上述方法开发中的结果保持一致(图3A-D)。
图3 储存对天麻药用成分的影响
04、转录组解析MT联合MAP保鲜天麻的机制
对储藏初期和末期(CK3与PE30组)进行转录组学分析,在CK3组中,与储藏初期相比,35d的块茎检测到9770个差异基因,其中938下调和8332上调,差主要富集通路如图4展示,其中氧化磷酸化,蛋白代谢和氧化还原通路与块茎的品质息息相关(图4A-B)。而PE30处理组在35d时相较于CK3,表现出1142个下调基因和10113个上调基因,主要富集在能量代谢相关和氨基酸生成等通路(图4C-D)。
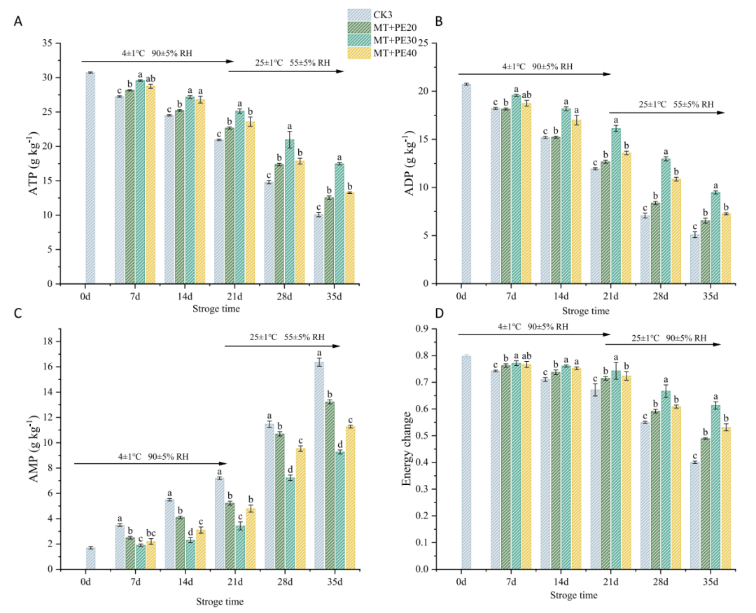
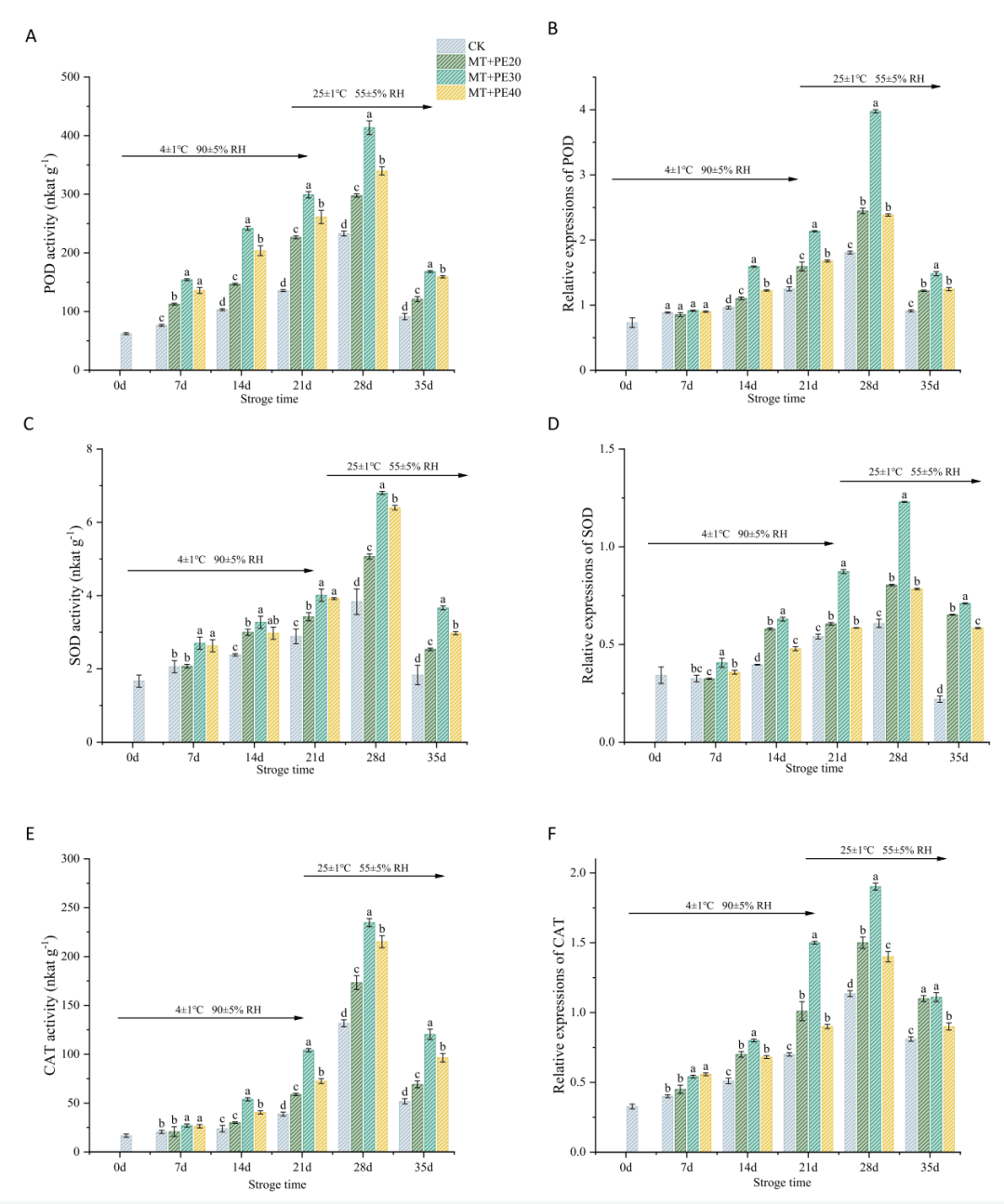
根据上述转录组结果,对抗氧化酶和能量代谢相关酶进行检测,主要包括CAT,SOD,POD等抗氧化酶体和ATP,ADP,AMP等能量代谢指标,结果显示MT联合PE30处理的块茎抗氧化酶体和ATP,ADP含量显著高于对照组,与转录组结果一致(图5A-F),显示出MT联合PE30处理的块茎通过抗氧化和能量保存来对抗腐败和品质下降(图6A-D)。
图4 天麻块茎转录组解析保鲜原理
图5 MT联合PE30处理对天麻块茎抗氧化酶的影响
图6 MT联合PE30处理对天麻块茎能量代谢的影响
文章小结
本研究基于病原体发现→微波抑制病原体→气调包装调节微环境的思路探索了天麻块茎保鲜手段,并使用营养,药效成分,转录组和下游代谢物检测揭示了这一处理影响天麻块茎保鲜的机制,为天麻块茎的采后保鲜提供了新的思路与见解。
拜谱小结
本文采用微波灭菌与气调包装对采收后的天麻块茎进行保鲜,并说明了其保鲜的具体机制,天麻块茎的采后保鲜提供了新的思路与见解。拜谱生物为该研究提供了转录组学检测分析服务。拜谱生物提供完善成熟的蛋白质组学、修饰蛋白质组学、代谢组学、转录组学等多组学产品技术服务体系,整合多组学数据进行深入挖掘分析,全面解析机制机理,助力高分文章发表。欢迎咨询!
参考文献
Zhang X, Zhang N, Li M, et al. Impact of microwave treatment in conjunction with modified atmosphere packaging on postharvest fungal diseases in fresh Gastrodia elata[J]. LWT, 2025: 118187.